If a particle with energy 'E' is incident on a thin energy barrier of height 'V', greater than ‘E', then there is a finite probability of the particle to penetrate the barrier. This phenomenon is called barrier penetration and this effect is called Tunnelling Effect (or) Quantum Tunnelling.
BARRIER PENETRATION AND
QUANTUM TUNNELLING
If
a particle with energy 'E' is incident on a thin energy barrier of height 'V',
greater than ‘E', then there is a finite probability of the particle to
penetrate the barrier. This phenomenon is called barrier penetration and this
effect is called Tunnelling Effect (or)
Quantum Tunnelling. According to classical mechanics, the probability of a
particle to penetrate / tunnel the barrier is zero, but according to quantum
mechanics it is finite.
Let
us consider a particle of kinetic energy 'E' which moves from the left (Region‒1)
and strikes the potential barrier of height 'V' as shown in Fig. 7.10. If the
kinetic energy (E) is lesser than the potential energy (V) (i.e) if E<V
then, according to classical mechanics there is no chance for the particle to
cross the potential barrier (V).
But,
according to quantum mechanics, the particle has certain probability (few
chances) to penetrate (or) cross the potential barrier (V) and comes out to
Region‒3, by tunnelling the Region‒2.
Note:
For wider and higher potential barrier, the chance of crossing the barrier
through tunnelling process is very less.
Let
us consider such a particle with energy E<V incident from left side (Region‒1)
and tunnel the Region‒2 of width 'l'
[x=0 to l] and comes out as a transmitted wave in Region‒3, as shown in
Fig. 7.10

Here,
the potential energy V=0, on both sides of the barrier, which means, no forces
will act upon the particle in Region‒1 and in Region‒3.
∴ The boundary
conditions shall be written for various regions as
For
Region‒1: When x <0; V=0
For
Region‒2: When 0<x<1; V=V
For
Region‒3: When x>1; V=0
Let
ᴪ1, ᴪ2 and ᴪ3 be the wavefunctions in Regions
1, 2 and 3 respectively.
Then,
the Schroedinger's wave equations for all the three regions shall be written as
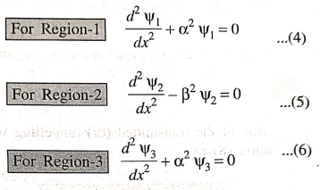
For Region‒1
d2ᴪ1/dx2 + 2m/ḧ2 [E‒V] ᴪ1
= 0
Since
V=0 in Region‒1, we can write the above equation as

For Region‒2
d2ᴪ2/dx2 + 2m/ḧ2 [V‒E] ᴪ2
= 0
Since
V>E in Region‒2, we can write the above equation as

For Region‒3
d2ᴪ3/dx2 + 2m/ḧ2 [E‒V] ᴪ3
= 0
Since
V=0 in Region‒3, we can write the above equation as

∴ Equations (1), (2) and
(3) shall be written as

The
solutions for eqns (4), (5) and (6) shall be written as
For
Region‒1: ᴪ1 = Aeiax +
Be‒iax ………..(7)
For
Region‒2: ᴪ2 = Feβx +
Ge‒βx ………..(8)
For
Region‒3: ᴪ3 = Ceiax +
De‒iax ………..(9)
Here
A, B, C, D, F, G are the amplitudes of corresponding waves in various regions
as shown in Fig. 7.10.
Let
us discuss the behaviour of wave function and the amplitudes in each Region,
viz.,
Region‒1
The
wave function of the incident wave in Region‒1 shall be written from equation
(7) as
ᴪ1 (Incident)
= Aeiαx ……………..(10)
Where
'A' is the amplitude of the incident
wave in Region‒1
Since
there are ample chances for the wave to get reflected within the Region‒1, due
to higher potential barrier (or) larger width of the barrier, the wave function
of the reflected wave in Region‒1 shall be written from equation (7) as
ᴪ1 (Reflected) = Be‒iαx ……………..(11)
Where
'B' is the amplitude of the reflected wave in Region‒1.
Region‒2
The
wave function of the transmitted (or) tunnelling wave at Region‒2 shall be
written from equation (8) as
ᴪ2 = Feβx + Ge‒βx ……………..(12)
Where
β - is the wave number given by β = √[2m (V‒E)]
/ h
F
- is the amplitude of the barrier penetrating wave (or)
tunnelling wave in Region‒2.
G
- is the amplitude of the reflected wave
at the boundary between Region‒1 and Region‒2.
From
eqn (12) we can see that the exponents are real quantities, so the wave
function ᴪ2 will not oscillate and therefore does not represent a
moving particle at Region‒2.
Thus,
the particle can either penetrate (or) tunnel through Region‒2 and transmitted
to Region‒3 (or) it shall be reflected back to Region‒1 itself. [Given by
equation (11)].
Region‒3
The
wave function of the transmitted wave in Region‒3 shall be written from
equation (9) as
ᴪ3 (Transmitted) = Celax
...(13)
Where
'C' is the amplitude of the transmitted
wave in Region‒3.
In
Region‒3, i.e., x>l, there can be only transmitted wave
and there will not be any reflected wave and therefore the amplitude of the
reflected wave in Region‒3 i.e., D=0
Thus,
the wave function of the reflected wave in Region‒3 is also zero.
ᴪ3 (Reflected)
= 0 ...(14)
The
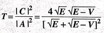
transmission and reflection co‒efficient shall be obtained as follows:
We
know that the probability density is the square of the amplitude of that
function. Therefore the barrier transmission co‒efficient (T) is the ratio
between the square of the amplitude of the transmitted wave |C|2 and
the square of the amplitude of the incident wave |A|2.
∴
The transmission co‒efficient T = |C|2 /
|A|2 = 4√E√(E‒V) / [√E +
√(E –V)]2 ...(15)

Equation
(15) is also called as the "Penetrability"
of the barrier.
Similarly,
the reflection co‒efficient (R) for the barrier surface at x=0 is the ratio
between the square of the amplitude of the reflected wave |B|2 and
the square of the amplitude of the incident wave |A|2
∴ The reflection co‒efficient R = |B|2 / |A|2
= [ √E‒√(E‒V) / [√E+√(E –V) ]2 ...(16)

Applied Physics I: Chapter 7: Quantum Mechanics : Tag: Applied Physics : - Barrier Penetration and Quantum Tunnelling
Applied Physics I
PH25C01 1st Semester | 2025 Regulation | 1st Semester 2025 Regulation
English Essentials I
EN25C01 1st Semester | 2025 Regulation | 1st Semester 2025 Regulation
தமிழர் மரபு - Heritage of Tamils
UC25H01 1st Semester | 2025 Regulation | 1st Semester 2025 Regulation
Applied Calculus
MA25C01 Maths 1 M1 - 1st Semester | 2025 Regulation | 1st Semester 2025 Regulation
Applied Physics I
PH25C01 1st Semester | 2025 Regulation | 1st Semester 2025 Regulation
Applied Chemistry I
CY25C01 1st Semester | 2025 Regulation | 1st Semester 2025 Regulation
Makerspace
ME25C04 1st Semester | 2025 Regulation | 1st Semester 2025 Regulation
Computer Programming C
CS25C01 1st Semester | 2025 Regulation | 1st Semester 2025 Regulation
Computer Programming Python
CS25C02 1st Semester | 2025 Regulation | 1st Semester 2025 Regulation
Fundamentals of Electrical and Electronics Engineering
EE25C03 1st Semester | 2025 Regulation | 1st Semester 2025 Regulation
Introduction to Mechanical Engineering
ME25C03 1st Semester | 2025 Regulation | 1st Semester 2025 Regulation
Introduction to Civil Engineering
CE25C01 1st Semester Civil Department | 2025 Regulation | 1st Semester 2025 Regulation
Essentials of Computing
CS25C03 1st Semester - AID CSE IT Department | 2025 Regulation | 1st Semester 2025 Regulation
Applied Physics I Laboratory
PH25C01 1st Semester practical Laboratory Manual | 2025 Regulation | 1st Semester Laboratory 2025 Regulation
Applied Chemistry I Laboratory
CY25C01 1st Semester practical Laboratory Manual | 2025 Regulation | 1st Semester Laboratory 2025 Regulation
Computer Programming C Laboratory
CS25C01 1st Semester practical Laboratory Manual | 2025 Regulation | 1st Semester Laboratory 2025 Regulation
Computer Programming Python Laboratory
CS25C02 1st Semester practical Laboratory Manual | 2025 Regulation | 1st Semester Laboratory 2025 Regulation
Engineering Drawing
ME25C01 EEE Mech Dept | 2025 Regulation | 2nd Semester 2025 Regulation
Basic Electronics and Electrical Engineering
EE25C04 1st Semester ECE Dept | 2025 Regulation | 2nd Semester 2025 Regulation