Explanation, Formula, Equation, Example and Solved Problems - Multiple Integrals: Change of order of Integration (Applied Calculus)
CHANGE
OF ORDER OF INTEGRATION
Change of order of Integration:
1. Problems under Type I
2. Problems under Type II
3. Problems under Type III
4. Problems with two sub regions
By changing the order
of integration a double integral may be sometimes conveniently evaluated. If
the limits of double integral are constants, we can change the order of
integration however the limits of integration will not undergo any change. But
when the limits are variables, the change in the limits also change like when
the order of integration is changed to fix up the new limits, it is always
advisable to draw a rough sketch of the region of integration.
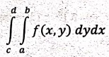
TYPE
‒ I
will take the form 
If all the limits of
the integral are constant, change of order is done just by interchanging the limits
TYPE
‒ II
will take the
form 
Since the order of
integration is dydx, draw a vertical strip PQ.
TYPE
‒ III
will take the
form 
Since the order of
integration is dxdy, draw a horizontal strip PQ.
Hint:
If
the inner limit has x term, draw horizontal strip. If the inner limit has y
term, draw vertical strip.
Example
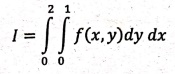
26. Change the order of integration for 0∫10∫2
f(x, y)dx dy.
Solution:
Since the limits of the
given integral are constant, change the order is nothing but the interchanging
the limits for the corresponding variables. Changing the order is
I = 0∫20∫1
f(x, y)dx dy

Example
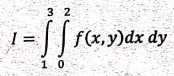
27. Change the order of integration for 0∫21∫3
f(x, y)dy dx.
Solution:
Since the limits of the
given integral are constant, change the order is nothing but the interchanging
the limits for the corresponding variables. Changing the order is
I = 0∫30∫2
f(x, y)dy dx

Example
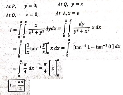
28. Change the order of integration in I = 0∫ay∫a
x/(x2+y2) dxdy and evaluate.
Solution:
To plot the region:

The region of
integration is bounded by x = y,
x = a, y = 0, y = a.
x=y, a line passing
through the origin intersect XOY plane.
x = a, a line
perpendicular to x‒axis.
y = 0 is x‒axis; y = a, a line perpendicular to y‒axis.
The region of
integration is OABO (shaded region).
To evaluate the
integral:
After changing the
order, first integrate with respect to y, then x.
Since the order of
integration is dydx, draw a vertical strip PQ.

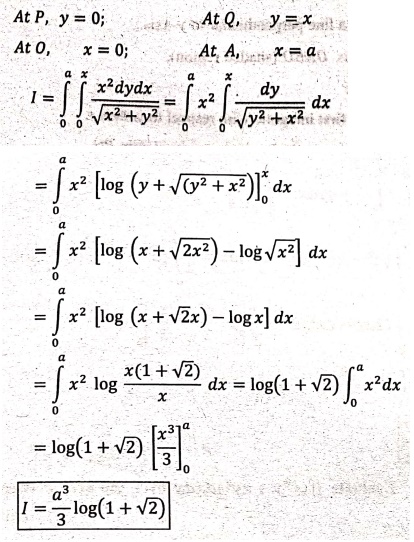
Example
29. Evaluate by changing the order of the integral 0∫ay∫a
x2/√(x2+y2) dxdy.
Solution:
To plot the region
The region of
integration is bounded by x = y,
x = a, y = 0, y = a
x = y, a line passing
through the origin intersect XOY plane

x = a, a line
perpendicular to x‒axis
y = 0 is x‒axis; y = a,
a line perpendicular to y‒axis
The region of
integration is OABO (shaded region)
To evaluate the
integral:
After changing the
order, first integrate with respect to y then x
Since the order of
integration is dydx, draw a vertical strip PQ

Example
30. Change the order of integration
y dxdy and hence evaluate it
Solution:
To plot the region:
The region of
integration is bounded by
y=0, y = a, x = a‒y
⇒
x + y = a
x = √[a2‒y2]
i.e., x2 = a2 – y2
x2
+ y2 = a2

y = 0 is x‒axis; y = a
is a straight line perpendicular to y‒axis
x + y = a, a line
intersect the XOY plane at (a, 0) and (0, a)
x2+y2 = a2 is a circle with centre at the origin and radius is a
The region of
integration is ABA (shaded region)
To evaluate the
integral:
After changing the
order, first integrate with respect to y then x
Since the order of
integration is dydx, draw vertical strip PQ
At P, y = a ‒ x; At Q, y = √[a2 ‒ x2]
At B, x = 0; At A, x = a

Example
31. Evaluate ∫∫ (x2y + xy2)dxdy
over the area between y = x2
and y = x.
Solution:
I = ∫∫ (x2y + xy2) dxdy
This problem is easily
evaluated by changing the order of integration

y=x is a straight line
passing through the origin.
y= x2 is a parabola symmetrical about y axis.
Common region is OAO.
To find the
intersecting point A:
We have y = x ... (1) and y = x2 ...
(2)
From (1) and (2)
x2
= x
⇒
x2‒x
= 0
⇒
x(x‒1)= 0
⇒x=0
or x=1
When x = 1, (1)
⇒
y=1
The point A is (1,1)
To evaluate the
integral:
After changing the
order, first integrate with respect to y then x
Since the order of
integration is dydx, draw vertical strip PQ
At P, y = x2; At Q, y = x
At 0, x = 0; At A, x =
1

Example
32. Evaluate ∫∫D (x+2y) dA, where D is the region bounded by the
parabolas y = 2x2 and y =
1 + x2.
Solution:
y = 2x2
... (1) is a parabola symmetrical about y‒axis
y = 1 + x2
... (2) is a parabola symmetrical about y‒axis and the vertex at (0,1).
To find the
intersecting points A and B:
From (1) and (2)
2x2 = 1 + x2,
that is, x2 = 1 and so x =
±1.
To evaluate the
integral:
Here dA = dydx is more
convenient.
After changing the
order, first integrate with respect to y then x
Since the order of
integration is dydx, draw vertical strip PQ
At P, y = 2x2; At Q, y=1+x2
At A, x = ‒1; At B, x =
1

Example
33. Change the order of integration for 0∫a0∫x
f(x, y) dy dx.
Solution:
To plot the region:
y = 0, is x‒axis
y = x, passing through
the origin and bisect the XOY plane

x = 0 is y‒axis; x= a,
a line perpendicular to x‒axis
The region of
integration is OABO (shaded region)
To change the order:
After changing the
order, first integrate with respect to x, then y
Since the order of
integration is dxdy, draw a horizontal strip PQ
At P, x = y;
At Q, x = a
At O, y = 0;
At B, y = a
Change of order is I = 0∫ay∫a
f(x, y)dx dy
Example
34. By changing the order of integration, evaluate 0∫ax∫a
(x2 + y2)dydx
Solution:
To plot the region:
The region of integration is bounded by
y = x, y = a, x = 0, x
= a.

y = x, a line passing
through the origin and intersect XOY plane
y = a, a line
perpendicular to y‒axis
x = 0 is y‒axis; x = a,
a line perpendicular to x‒axis
The region of
integration is OABO (shaded region)
To evaluate the
integral:
After changing the
order, first integrate with respect to x, then y
Since the order of
integration is dxdy, draw a horizontal strip PQ
At P, x = 0;
At Q, x = y;
At 0, y = 0;
At B, y = a;

Example
35. Change the order of integration and evaluate 0∫∞x∫∞
e‒y/y dydx.
Solution:
To plot the region:
The region of
integration is bounded by
y = x, y = ∞, x = 0, x
= ∞

y = x, a line passing
through the origin intersect XOY plane
y= ∞, a straight line
perpendicular to y‒axis at infinity
To evaluate the
integral:
After changing the
order, first integrate with respect to x, then y
Since the order of
integration is dxdy, draw a horizontal strip PQ
At P, x=0;
At Q, x = y
At O, y = 0;
At B, y=∞

Example
36. Change the order of integration in 0∫∞0∫y
ye‒y2/x dxdy and then evaluate it.
Solution:
To plot the region:

The region of
integration is bounded by y = 0
(x‒axis); y = x, x = 0 x = ∞
y = x, a line passing through the origin
intersect XOY plane
x = ∞, a straight line perpendicular to x‒axis
at infinity
To evaluate the
integral:
After changing the
order, first integrate with respect to x, then y
Since the order of
integration is dxdy, draw a horizontal strip PQ
At P, x = y;
At Q, x=∞;
At 0, y = 0;
At B, y= ∞

Example
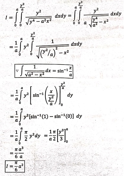
37. Change the order of integration in
and hence evaluate it.
Solution:
To plot the region:
The region of
integration is bounded by
x = 0, x = 4a
x= x2/4a
⇒
x2 = 4ay ... (1)
y = 2√(ax) = y2 = 4ax ... (2)
x = 0 is y‒axis; x = 4a
is a straight line perpendicular to y‒axis
x2
= 4ay is a parabola symmetrical about y‒axis with vertex at the origin
y2
=
4ax is a parabola symmetrical about x‒axis with vertex at the origin
To find the point of
intersection:
From (2), x = y2/4a ………(3)
Substitute (3) in (1)
(y2 / 4a)2 = 4ay
y4 / 16a2
= 4ay

y4 = 64a3y
y4‒64a3y = 0
y(y3‒64a3)=0
y = 0, y3 – 64a3 = 0
y3
= 64a3
⇒
y = 4a
y= 0, y = 4a. The
points of intersection are (0,0), (4a, 4a).
To evaluate the
integral:
Change of order of
integration is dxdy
After changing the
order, first integrate with respect to x, then y
Since the order of
integration is dxdy, draw a horizontal strip PQ.

Example
38. By changing the order of integration evaluate
.
Solution:
To plot the region:
The region of
integration is bounded by
x = 0, x = a, y = √(ax)
⇒
y2 = ax, y = a

x = 0 is y‒axis; x = a
is a line perpendicular to x‒axis
y2
= ax, a parabola symmetrical about x‒axis with vertex at origin
y = a, a line
perpendicular to y‒axis
The region of
integration is OABO (shaded region)
To evaluate the
integral:
After changing the
order, first integrate with respect to x, then y
Since the order of
integration is dxdy, draw horizontal strip PQ
At P, x=0
At 0, y = 0
At Q, x = y2/a
At B, y = a

Example
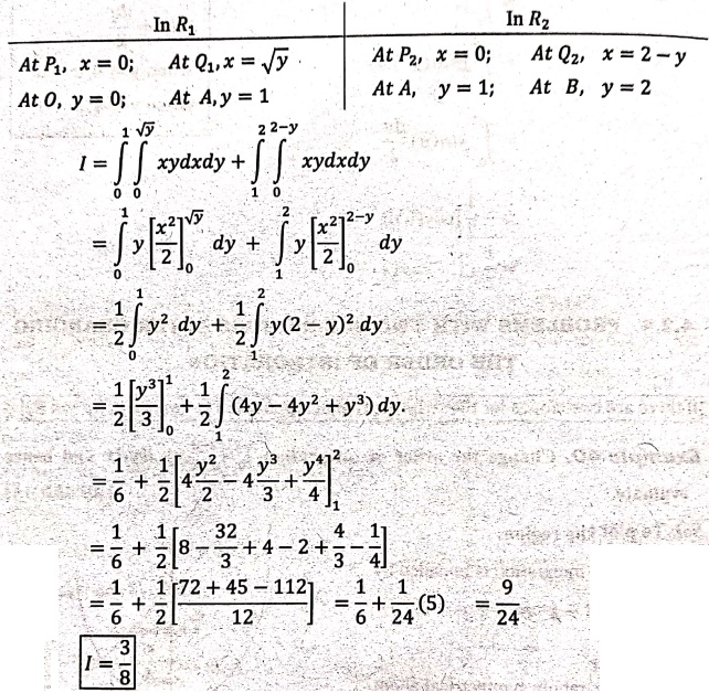
39. Evaluate the iterated integral 0∫1x∫1
sin(y2) dydx.
Solution:
If we try to evaluate
the integral as it stands, we are faced with the task of first evaluating ∫sin(y2)dy. But it's impossible to
do so in finite terms since is not an elementary function. So we must change
the order of integration. This is accomplished by first expressing the given
iterated integral as a double integral.
To plot the region:
The region of integration is bounded by
y=x, y= 1, x = 0, x =
1.
y=x, a line passing
through the origin and intersect XOY plane

y= 1, a line perpendicular
to y‒axis
x = 0 is y‒axis; x = 1
a line perpendicular to x‒axis
The region of
integration is OABO (shaded region)
To evaluate the
integral:
After changing the
order, first integrate with respect to x, then y
Since the order of
integration is dxdy, draw a horizontal strip PQ
At P, x = 0;
At Q, x=y
At 0, y = 0;
At B, y = 1

If there are two slopes
for the strip, the region is splited in to two parts R1 and R2
Example
40. Change the order of integration 0∫1x2∫2‒x
xy dydx and hence evaluate.
Solution:
To plot the region:
The region of
integration is bounded by
y = x2, y = 2 − x ⇒ x + y = 2,
x = 0, x = 1

y = x2 is a parabola symmetrical
about y‒axis.
x+y= 2 straight line
intersect the coordinate axes at (2,0) and (0,2).
x = 0 is y‒axis, x = 1,
a line perpendicular to x‒axis.
The region of
integration is OCBAO (shaded region).
To evaluate the
integral:
After changing the order,
first integrate with respect to x, then y
Since there are two
slopes for horizontal strip, the region is spitted into two parts R1
& R2
Draw horizontal strips
P1Q1, P2Q2

Example
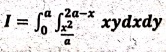
41. Change the order of integration I = 0∫ax2/a∫2a‒x
xy dxdy and hence evaluate it.

Solution:
Since inner limit is a
function of x, first integrate with respect to y then x
I = 0∫ax2/a∫2a‒x
xy dxdy
To plot the region;
The region of
integration is bounded by
y = x2/a, y = 2a ‒ x
x+y=2a, x = 0, x = a

y = x2
is a parabola symmetrical about y‒axis. x + y = 2a a straight line intersect
the coordinate axes at (2a, 0) and (0,2a). x = 0 is y‒axis, x = a, a line
perpendicular to x‒axis.
The region of
integration is OCBAO (shaded region).
To evaluate the
integral:
After changing the
order, first integrate with respect to x, then y
Since there are two
slopes for horizontal strip, the region is spitted into two parts R1
& R2
Draw horizontal strips
P1Q1, P2Q2.

25.
Evaluate the following integral by changing the order of integration

Applied Calculus: UNIT IV: Multiple Integrals : Tag: Applied Calculus : - Change of order of Integration
Applied Calculus
MA25C01 Maths 1 M1 - 1st Semester | 2025 Regulation | 1st Semester 2025 Regulation
English Essentials I
EN25C01 1st Semester | 2025 Regulation | 1st Semester 2025 Regulation
தமிழர் மரபு - Heritage of Tamils
UC25H01 1st Semester | 2025 Regulation | 1st Semester 2025 Regulation
Applied Calculus
MA25C01 Maths 1 M1 - 1st Semester | 2025 Regulation | 1st Semester 2025 Regulation
Applied Physics I
PH25C01 1st Semester | 2025 Regulation | 1st Semester 2025 Regulation
Applied Chemistry I
CY25C01 1st Semester | 2025 Regulation | 1st Semester 2025 Regulation
Makerspace
ME25C04 1st Semester | 2025 Regulation | 1st Semester 2025 Regulation
Computer Programming C
CS25C01 1st Semester | 2025 Regulation | 1st Semester 2025 Regulation
Computer Programming Python
CS25C02 1st Semester | 2025 Regulation | 1st Semester 2025 Regulation
Fundamentals of Electrical and Electronics Engineering
EE25C03 1st Semester | 2025 Regulation | 1st Semester 2025 Regulation
Introduction to Mechanical Engineering
ME25C03 1st Semester | 2025 Regulation | 1st Semester 2025 Regulation
Introduction to Civil Engineering
CE25C01 1st Semester Civil Department | 2025 Regulation | 1st Semester 2025 Regulation
Essentials of Computing
CS25C03 1st Semester - AID CSE IT Department | 2025 Regulation | 1st Semester 2025 Regulation
Applied Physics I Laboratory
PH25C01 1st Semester practical Laboratory Manual | 2025 Regulation | 1st Semester Laboratory 2025 Regulation
Applied Chemistry I Laboratory
CY25C01 1st Semester practical Laboratory Manual | 2025 Regulation | 1st Semester Laboratory 2025 Regulation
Computer Programming C Laboratory
CS25C01 1st Semester practical Laboratory Manual | 2025 Regulation | 1st Semester Laboratory 2025 Regulation
Computer Programming Python Laboratory
CS25C02 1st Semester practical Laboratory Manual | 2025 Regulation | 1st Semester Laboratory 2025 Regulation
Engineering Drawing
ME25C01 EEE Mech Dept | 2025 Regulation | 2nd Semester 2025 Regulation
Basic Electronics and Electrical Engineering
EE25C04 1st Semester ECE Dept | 2025 Regulation | 2nd Semester 2025 Regulation