(i) Maxwell's first equation from electric Gauss law (ii) Maxwell's second equation from magnetic Gauss law (iii) Maxwell's third equation from Faraday's law
MAXWELL'S EQUATIONS
In
1865 James Clerk Maxwell framed the theory of electromagnetic radiation through
four equations and explained about the fundamental relations between electric
and magnetic fields. Those four equations are called as Maxwell's equations.
Maxwell's
equations are formulated based on the fundamental laws such as (i) Gauss law
for electricity, (ii) Gauss law for magnetism, (iii) Faraday's law of
electromagnetic induction and (iv) Ampere's law.
The
formulated Maxwell's equations are,

Let
us discuss the derivations for obtaining the above equations.
DERIVATIONS
OF MAXWELL'S EQUATIONS
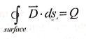
Let
us consider a dielectric medium of surface 's' bounded by the volume V. If 'Q'
is the total charge in the dielectric material whose charge density is ρ then,
According to Gauss law, for electric field we can write,

Since
Air is a perfect dielectric εr = 1 (for Air)
……………. (2)
Substituting
equation (2) in (1) we get

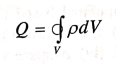
Since
the total charge Q is equal to the charge density ρ over the volume V, we can
write

Comparing
eqn. (3) and (4), we get

Equation
(5) represents the Maxwell's first equation in integral form.
Differential form
The
differential form of Maxwell's first equation shall be obtained from the
integral form of Maxwell's first equation, by converting the surface integral
into volume integral.
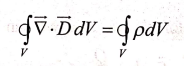
∴ Applying Gauss
divergence theorem to LHS of eqn (5), we get
From
eqn (5) and (6), we can write
Two
volume integrals are equal if these integrands are equal,
∴ Equation (7) becomes
....... (8)
Equation
(8) represents the Maxwell's first equation in differential form.
According
to Gauss law for magnetic field, the net magnetic flux through any closed
surface is equal to zero.
i.e,
ϕ=0 ……………(9)
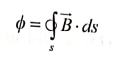
We
know that the magnetic flux (Q) in terms of magnetic induction (B) is
……………(10)
Comparing
equations (9) and (10) we get,
……………(11)
Equation
(11) represents Maxwell's second equation in integral form.
Differential form
The
differential form of Maxwell's second equation shall be obtained as follows.
Using
Gauss divergence theorem, equation (11) can be written as
…………(12)
Here,
the surface bound volume is an arbitrary, therefore equation (12) holds good
only if the integral vanishes.
………. (13)
Equation
(13) represents the Maxwell's second equation in differential form.
According
to Faraday's law,
ε = ‒ dϕ/dt ……….(14)
Where
ε → Electromotive force & ϕ →
Magnetic flux
From
eqn (29) we can see that the charge density becomes constant (or) in other
words we can say that the change density is static. Thus we conclude that the
Ampere's equation is valid for steady state conditions and is invalid for time varying fields.
Therefore,
Maxwell assumed that equation (26) is incomplete and hence he modified Eqn.
(26) by adding displacement current density Jd to equation (26).
Hence equation (26) becomes

From
Maxwell's first equation, we know
. ∴ The above equation becomes

Equation
(33) represents the Maxwell's fourth equation in differential form.
SUMMARY
OF MAXWELL'S EQUATIONS IN DIFFERENTIAL AND INTEGRAL FORM
The
summary of Maxwell's equations in differential & integral form, based on
Guass Law (in both electric and magnetic fields), Faraday's law and Ampere's
law is appended in the table below.

Law
1.
Gauss law in electric field
2.
Gauss law in magnetic field
3.
Faraday's law
4.
Ampere's law
Applied Physics I: Chapter 6: Oscillations and Waves - Electromagnetic Waves : Tag: Applied Physics : - Derivations of Maxwell's equations
Applied Physics I
PH25C01 1st Semester | 2025 Regulation | 1st Semester 2025 Regulation
English Essentials I
EN25C01 1st Semester | 2025 Regulation | 1st Semester 2025 Regulation
தமிழர் மரபு - Heritage of Tamils
UC25H01 1st Semester | 2025 Regulation | 1st Semester 2025 Regulation
Applied Calculus
MA25C01 Maths 1 M1 - 1st Semester | 2025 Regulation | 1st Semester 2025 Regulation
Applied Physics I
PH25C01 1st Semester | 2025 Regulation | 1st Semester 2025 Regulation
Applied Chemistry I
CY25C01 1st Semester | 2025 Regulation | 1st Semester 2025 Regulation
Makerspace
ME25C04 1st Semester | 2025 Regulation | 1st Semester 2025 Regulation
Computer Programming C
CS25C01 1st Semester | 2025 Regulation | 1st Semester 2025 Regulation
Computer Programming Python
CS25C02 1st Semester | 2025 Regulation | 1st Semester 2025 Regulation
Fundamentals of Electrical and Electronics Engineering
EE25C03 1st Semester | 2025 Regulation | 1st Semester 2025 Regulation
Introduction to Mechanical Engineering
ME25C03 1st Semester | 2025 Regulation | 1st Semester 2025 Regulation
Introduction to Civil Engineering
CE25C01 1st Semester Civil Department | 2025 Regulation | 1st Semester 2025 Regulation
Essentials of Computing
CS25C03 1st Semester - AID CSE IT Department | 2025 Regulation | 1st Semester 2025 Regulation
Applied Physics I Laboratory
PH25C01 1st Semester practical Laboratory Manual | 2025 Regulation | 1st Semester Laboratory 2025 Regulation
Applied Chemistry I Laboratory
CY25C01 1st Semester practical Laboratory Manual | 2025 Regulation | 1st Semester Laboratory 2025 Regulation
Computer Programming C Laboratory
CS25C01 1st Semester practical Laboratory Manual | 2025 Regulation | 1st Semester Laboratory 2025 Regulation
Computer Programming Python Laboratory
CS25C02 1st Semester practical Laboratory Manual | 2025 Regulation | 1st Semester Laboratory 2025 Regulation
Engineering Drawing
ME25C01 EEE Mech Dept | 2025 Regulation | 2nd Semester 2025 Regulation
Basic Electronics and Electrical Engineering
EE25C04 1st Semester ECE Dept | 2025 Regulation | 2nd Semester 2025 Regulation