Applied Physics I: Chapter 6: Oscillations and Waves - Electromagnetic Waves : Important part-A 2 marks Short Questions and Answers
ANNA
UNIVERSITY PART 'A' QUESTIONS AND ANSWERS
1. Write any five
properties of electromagnetic waves.
The
Five Properties of electromagnetic waves are as follows
(i)
Electromagnetic waves are transverse in nature.
(ii)
No medium is required for propagation of electromagnetic waves.
(iii)
Electromagnetic waves travels with the speed of light i.e, 3×108 ms‒1
(vacuum).
(iv)
It is not deflected by electric or magnetic field.
(v)
It exhibits interference / diffraction.
2. Write the expression
for electromagnetic wave equations in terms of electric and magnetic field
vector for free space.
(i).
Wave equation in terms of electric field 
(ii).
Wave equation in terms of magnetic field 
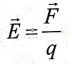
1. Define electric
intensity
Electric
intensity is defined as the ratio of electrostatic Force (field exerts by
charge) to electric charge.

2. What is mean by
electric displacement vector?
It
is defined as electric flux per unit area. It is also known as Electric flux
density.

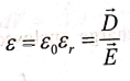
3. Define electrical
permittivity.
Electrical
permittivity is defined as the ratio of displacement current to electric field.
Electrical
permittivity ε= ε0εr

4. Define dielectric
constant (or) Relative permittivity.
Dielectric
constant (or) Relative permittivity is defined the ratio of permittivity of the
medium to permittivity of free space or vacuum.
Relative
permittivity εr = ε/ε0
ε
= ε0εr
5. Define magnetic flux
density.
Magnetic
flux density is defined as the number of magnetic lines of force passing
normally through unit area of cross section at that point.
6. Define magnetic
field intensity.
Magnetic
field intensity is defined as the force experienced by a unit north pole placed
at the given point in a magnetic field.
7. Define magnetic
permeability.
Magnetic
permeability is defined as ratio of magnetic flux density to magnetic field intensity.
Magnetic
permeability μ = μ0μr = 
It
is the measure of degrees at which the lines of force can penetrate through the
material.
8. Define relative
permeability
Relative
permeability is defined as the ratio of permeability of the medium to
permeability of free space or vacuum.
Relative
permeability μr = μ/μ0
(or)
μ= μ0μr
9. State the Gauss's
law.
Gauss
law states that, the total flux through any closed surface is equal 1/ε0
times the total charge enclosed in the surface.

10. State the Faraday's
law of electromagnetic induction.
It
states that, the induced electro motive force in a coil is equal to the rate of
change of the magnetic flux linking the coil.
ε = ‒ dϕ/dt
Where,
ε is the electro motive force and Ō is the magnetic flux.
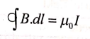
11. State the Ampere's
circuit law.
Ampere's
circuit law state that, the line integral of magnetic field surrounding any
closed path is equal to μ0 times of net current passing through that
path.

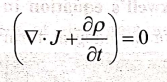
12. What you mean by
equation of continuity.
Law
of conservation of charge states that the total charge of an isolated system
remains constant. The differential form of mathematical representation of law
of conservation of charge is called equation of continuity.
(∇.J
+ ∂ρ/∂t ) = 0

13. What is meant by
displacement current?
The
rate of change of charge in a capacitor is said to be a displacement current.
ID = ∂Q/∂t [where Q is Charge]
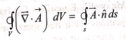
14. State the Gauss
divergence theorems
It
states that, "the volume integral of divergence of a vector
is
equal to the vector
that spreads out through the surface which covers
the volume (V).

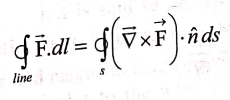
15. State the Stoke's
theorems
It
states that, "the line integral of a vector
around a closed
contour (line) is equal to the surface integral of curl over the region which
is bounded by the contour."

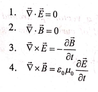
16. Write down the
Maxwell's equations in differential form.
Maxwell's
equations in differential form

17. Write down the
Maxwell's equation in integral form
Maxwell's
equation in integral form

18. Write down the
Maxwell's Equations for free space in differential form.
Maxwell's
equations for a free space or vacuum in differential form are as follow

19. What is mean by
plane electromagnetic wave?
If
the field vector of electromagnetic wave is constant over any plane that is
perpendicular to the directon of wave propagation at any instant of time, then
this wave is called plane electromagnetic wave.
20. Write any two
properties of plane electromagnetic waves in free space.
1.
EM wave travel with the speed of light in vacuum.
2.
EM wave field vectors
and
are perpendicular to each other
and they are also perpendicular to the direction of wave propagation.
3.
Field vectors
and
are in same phase.
21. List out any four
sources of electromagnetic waves.
Source:
Electromagnetic waves
1.
Accelerating charges: Radio waves
2.
Fast collisions of electrons: X‒rays
3.
Nuclear decay: Gamma rays
4.
Hot object, Human body and sun: Infra‒Red rays
22. Write short notes
on cell phone reception.
Cell
phone is a two‒way communicating radio, consisting of a radio wave transmitter
and a radio wave receiver.
Cell
phones contain radio antenna to receive radio signals and it is a metallic
element (such as copper) engineered to be an effective size and shape for
transmitting and receiving definite frequencies of radio waves.
Receiver
antenna converts the radio wave to an electric signal, this receiving and
converting function is said to be cell phone reception.
23. Why electromagnetic
wave is of transverse in nature.
Electric
field vector and magnetic field vectors are mutually perpendicular to each
other and also perpendicular to the wave propagation direction. These three are
mutually perpendicular to each other. Therefore electromagnetic wave is said to
be transverse in nature.
Applied Physics I: Chapter 6: Oscillations and Waves - Electromagnetic Waves : Tag: Applied Physics : - Electromagnetic Waves: Important part-A 2 marks Short Questions and Answers
Applied Physics I
PH25C01 1st Semester | 2025 Regulation | 1st Semester 2025 Regulation
English Essentials I
EN25C01 1st Semester | 2025 Regulation | 1st Semester 2025 Regulation
தமிழர் மரபு - Heritage of Tamils
UC25H01 1st Semester | 2025 Regulation | 1st Semester 2025 Regulation
Applied Calculus
MA25C01 Maths 1 M1 - 1st Semester | 2025 Regulation | 1st Semester 2025 Regulation
Applied Physics I
PH25C01 1st Semester | 2025 Regulation | 1st Semester 2025 Regulation
Applied Chemistry I
CY25C01 1st Semester | 2025 Regulation | 1st Semester 2025 Regulation
Makerspace
ME25C04 1st Semester | 2025 Regulation | 1st Semester 2025 Regulation
Computer Programming C
CS25C01 1st Semester | 2025 Regulation | 1st Semester 2025 Regulation
Computer Programming Python
CS25C02 1st Semester | 2025 Regulation | 1st Semester 2025 Regulation
Fundamentals of Electrical and Electronics Engineering
EE25C03 1st Semester | 2025 Regulation | 1st Semester 2025 Regulation
Introduction to Mechanical Engineering
ME25C03 1st Semester | 2025 Regulation | 1st Semester 2025 Regulation
Introduction to Civil Engineering
CE25C01 1st Semester Civil Department | 2025 Regulation | 1st Semester 2025 Regulation
Essentials of Computing
CS25C03 1st Semester - AID CSE IT Department | 2025 Regulation | 1st Semester 2025 Regulation
Applied Physics I Laboratory
PH25C01 1st Semester practical Laboratory Manual | 2025 Regulation | 1st Semester Laboratory 2025 Regulation
Applied Chemistry I Laboratory
CY25C01 1st Semester practical Laboratory Manual | 2025 Regulation | 1st Semester Laboratory 2025 Regulation
Computer Programming C Laboratory
CS25C01 1st Semester practical Laboratory Manual | 2025 Regulation | 1st Semester Laboratory 2025 Regulation
Computer Programming Python Laboratory
CS25C02 1st Semester practical Laboratory Manual | 2025 Regulation | 1st Semester Laboratory 2025 Regulation
Engineering Drawing
ME25C01 EEE Mech Dept | 2025 Regulation | 2nd Semester 2025 Regulation
Basic Electronics and Electrical Engineering
EE25C04 1st Semester ECE Dept | 2025 Regulation | 2nd Semester 2025 Regulation