
Explanation, Formula, Equation, Example and Solved Problems - Integral Calculus: Area surfaces of revolution
AREA
OF SURFACES OF REVOLUTION
When you jump rope, the
rope sweeps out a surface in the space around you similar to what is called a
surface of revolution. The surface surrounds a volume of revolution, and many
applications require that we know the area of the surface rather than the
volume it encloses. In this section we define areas of surfaces of revolution.
If you revolve a region
in the plane that is bounded by the graph of a function over an interval, it
sweeps out a solid of revolution, as we saw earlier in the chapter. However, if
you revolve only the bounding curve itself, it does not sweep out any interior
volume but rather a surface that surrounds the solid and forms part of its
boundary. Just as we were interested in defining and finding the length of a
curve in the last section, we are now interested in defining and finding the
area of a surface generated by revolving a curve about an axis.
Before considering
general curves, we begin by rotating horizontal and slanted line segments about
the x‒axis. If we rotate the horizontal line segment AB having length about the
x‒axis, we generate a cylinder with surface area 2πу∆x. This area is the same
as that of a rectangle with side lengths ∆x and 2πу. The length 2πy is the
circumference of the circle of radius y generated by rotating the point (x, y)
on the line AB about the x‒axis.

(a)
A cylindrical surface generated by rotating the horizontal line segment AB of
length ∆x about the x axis has area 2πу∆x.
(b)
The cut and rolled out cylindrical surface as a rectangle.
Suppose the line
segment AB has length L and is slanted rather than horizontal. Now when AB is
rotated about the x‒axis, it generates a frustum of a cone. From classical
geometry, the surface area of this frustum is 2πу*L, where y* = (y1+y2)/2 the average height of
the slanted segment AB above the x‒axis. This surface area is the same as that
of a rectangle with side lengths L and 2πу*.
Let's build on these
geometric principles to define the area of a surface swept out by revolving
more general curves about the x‒axis. Suppose we want to find the area of the
surface swept out by revolving the graph of a nonnegative continuous function y
= f(x), a≤x≤ b about the x‒axis. We
partition the closed interval [a, b] in the usual way and use the points in the
partition to subdivide the graph into short arcs. Figure shows a typical arc PQ
and the band it sweeps out as part of the graph of f.

(a)
The frustum of a cone generated by rotating the slanted line segment AB of
length L about x‒area has area 2лу*L. (b) The area of the rectangle for y* = [
y1+y2 ] / 2, the average height of AB above the x‒axis.

The
surface generated by revolving the graph of a nonnegative function y = f(x), a≤
x ≤ b about the axis. The surface is a union of bands like the one swept out by
the arc PQ.
As the arc PQ revolves
about the x‒axis, the line segment joining P and Q sweeps out a frustum of a
cone of a cone whose axis along the x‒axis. The surface area of the frustum
approximates the surface area of the band swept the are PQ. The surface area of
the frustum of the cone shown in below Figure is 2πу*L. where y* is the average
height of the line segment joining P and Q, and L is its length (just as
before).

The
line segment joining P and Q sweeps out a frustum of a cone
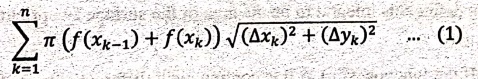
Since f ≥ 0 from below Figure we see that the
average height of line segment is y*= [f(xk‒1)+f(xk) ] / 2, and the slant
length is L = √[(∆xk)2 + (∆уk)2].

Dimensions
associated with the arc and line segment PQ
Therefore,
Frustum surface area = 2π
. [f(xk‒1) + f(xk)]/2 . √[(∆xk)2
+ (∆yk)2]
= π(f(xk‒1) + f(xk)) . √[(∆xk)2
+ (∆yk)2]
The area of the original surface, being the
sum of the areas of the bands swept out by arcs like are PQ, is approximated by
the frustum area sum

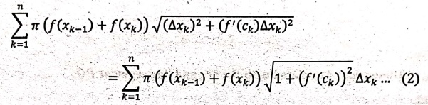
We expect the
approximation to improve as the partition of [a, b] becomes finer. Moreover, if
the function is differentiable, then by the Mean Value Theorem, there is a
point (Ck, f(ck))
on the curve between P and Q where the tangent is parallel to the segment PQ.

If f is smooth, the Mean Value Theorem guarantees the existence of a
point ck where the tangent is parallel to segment PQ.
At this point,
f '(ck) = ∆yk
/ ∆xk
∆yk = f '(ck) ∆xk
With this substitution
for ∆yk the sums in Equation (1) take the for

These sums are not the
Riemann sums of any function because the points xk‒1,xk,
and ck are not the same. However, it can be proved that as the norm
of the partition [a, b] goes to zero, the sums in Equation (2) converge to the
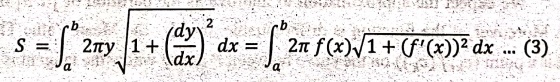
integral
a∫b
2π f(x)√[1 + (f '(x))2] dx
We therefore define
this integral to be the area of the surface swept out by the graph of f from a to b.
Definition:
If the function f(x) ≥ 0 is continuously differentiable
on [a, b] the area of the surface revolving the graph of y = f(x) about the x‒axis is

Parametric
Form:
Suppose that the curve
is given in the parametric form x = f(t),
y = ϕ(t)

Polar
Form:
Suppose that the curve
is given in the polar form r = f(θ)

Example
122. Find the area of the surface generated by revolving the curve y = 2√x, 1 ≤
x ≤ 2, about the x‒axis.

Example
123. The curve y = √[4‒x2],‒1
≤ x ≤ 1, is an arc of the circle x2
+ y2 = 4. Find the area of
the surface obtained by rotating this arc about x‒ axis. (The surface is a portion
of sphere of radius 2.)
Solution:
Given y = √[4 − x2],

S=8π
Example
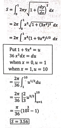
124. Find the area of the surface that is generating by revolving the portion
of the curve y = x3
between x = 0 and x = 1 about the x‒axis.
Solution:
Given y = x3
dy/dx = 3x2
The surface area is
given by

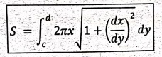
If x = g(y) ≥ 0 is
continuously differentiable on [c, d], the area of the surface generated by
revolving the graph of x = g(y) about the y‒axis is

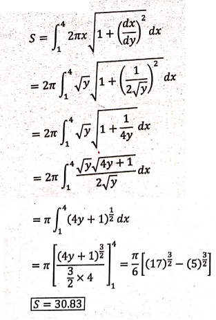
Example
125. Find the area of the surface that is generating by revolving the portion
of the curve y = x2
between x = 1 and x = 4 about the y‒axis.
Solution:
Given y = x2
Since we are revolving
portion of the parabola about y‒axis, we find x in terms of y.
x = √y
dx/dy = 1 / 2√y
The surface area is
given by

S = 30.83
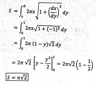
Example
126. The line segment x=1‒y, 0 ≤ y ≤ 1 is revolved about the y‒axis to generate
the cone. Find its lateral surface area (which excludes the base area).
Solution:
Revolving line segment
AB about the y axis generates a cone whose lateral surface area we can now
calculate in two different ways.

First
way:
Here we have a
calculation we can check with a formula from geometry:
Lateral surface area =
[base circumference/2] × slant height = π√2.
x = 1−y, dx/dy = ‒1.
The surface area is
given by

S = π√2
Suppose that the curve
is given in the polar form r = f(θ)

Example
127. Find the surface of the solid formed by revolving the cardioid r = a
(1+ cosθ) about the initial line.
Solution:
The cardioid is
symmetrical about the initial line and for its upper half, θ varies from 0 to π.

S = 32πα2 / 5
Suppose that the curve
is given in the parametric form x = f(t),
y = ϕ(t)

Example
128. Find the surface area of the solid generated by the revolution of the
asteroid x = a cos3t, y = a sin3t about the y‒axis.
Solution:
The asteroid is
symmetrical about the x‒axis, and for its portion in the first quadrant t
varies from 0 to π /2.
x = a cos3t,
y = a sin3t

S = 12πα2 / 5
16. Find the surface of
the reel formed by the revolution round the tangent at the vertex of an arch of
the cycloid
x = a(θ + sinθ), y = a(1 ‒ cosθ)
17. Find the surface
area of the solid generated by the revolving the cycloid x = a(t‒sint),
y = a(1 ‒ cost) about the base.
18. Find the exact area
of the surface obtained the curve about the x-axis
(1) y = sinπx, 0 ≤ x ≤1
(2) y = √[1+ex],
0 ≤x≤1
(3) y = √[1+ 4x], 1≤x≤5
(4) y=x3, 0≤x≤2
(5) 9x y2+18, 2≤x≤6
19. The given curve is
rotated about the y‒axis. Find the area of the resulting surface.
(1) y = 3√x,
1≤y≤2
(2) x = √[a2‒y2], 0≤y≤a/2
(3) y = √[1‒x2], 0≤x≤1
Applied Calculus: UNIT III: Integral Calculus : Tag: Applied Calculus : Integral Calculus - Area surfaces of revolution
Applied Calculus
MA25C01 Maths 1 M1 - 1st Semester | 2025 Regulation | 1st Semester 2025 Regulation
English Essentials I
EN25C01 1st Semester | 2025 Regulation | 1st Semester 2025 Regulation
தமிழர் மரபு - Heritage of Tamils
UC25H01 1st Semester | 2025 Regulation | 1st Semester 2025 Regulation
Applied Calculus
MA25C01 Maths 1 M1 - 1st Semester | 2025 Regulation | 1st Semester 2025 Regulation
Applied Physics I
PH25C01 1st Semester | 2025 Regulation | 1st Semester 2025 Regulation
Applied Chemistry I
CY25C01 1st Semester | 2025 Regulation | 1st Semester 2025 Regulation
Makerspace
ME25C04 1st Semester | 2025 Regulation | 1st Semester 2025 Regulation
Computer Programming C
CS25C01 1st Semester | 2025 Regulation | 1st Semester 2025 Regulation
Computer Programming Python
CS25C02 1st Semester | 2025 Regulation | 1st Semester 2025 Regulation
Fundamentals of Electrical and Electronics Engineering
EE25C03 1st Semester | 2025 Regulation | 1st Semester 2025 Regulation
Introduction to Mechanical Engineering
ME25C03 1st Semester | 2025 Regulation | 1st Semester 2025 Regulation
Introduction to Civil Engineering
CE25C01 1st Semester Civil Department | 2025 Regulation | 1st Semester 2025 Regulation
Essentials of Computing
CS25C03 1st Semester - AID CSE IT Department | 2025 Regulation | 1st Semester 2025 Regulation
Applied Physics I Laboratory
PH25C01 1st Semester practical Laboratory Manual | 2025 Regulation | 1st Semester Laboratory 2025 Regulation
Applied Chemistry I Laboratory
CY25C01 1st Semester practical Laboratory Manual | 2025 Regulation | 1st Semester Laboratory 2025 Regulation
Computer Programming C Laboratory
CS25C01 1st Semester practical Laboratory Manual | 2025 Regulation | 1st Semester Laboratory 2025 Regulation
Computer Programming Python Laboratory
CS25C02 1st Semester practical Laboratory Manual | 2025 Regulation | 1st Semester Laboratory 2025 Regulation
Engineering Drawing
ME25C01 EEE Mech Dept | 2025 Regulation | 2nd Semester 2025 Regulation
Basic Electronics and Electrical Engineering
EE25C04 1st Semester ECE Dept | 2025 Regulation | 2nd Semester 2025 Regulation