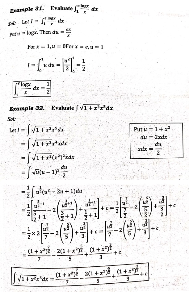
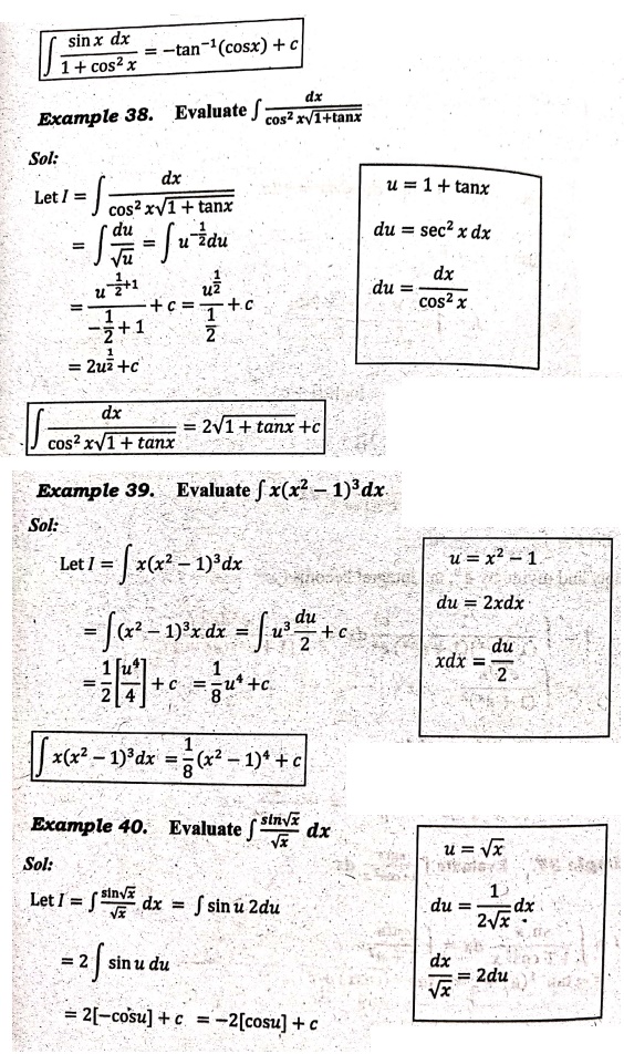
Explanation, Formula, Equation, Example and Solved Problems - Net Change Theorem : Method of integration : Substitution rule
METHOD
OF INTEGRATION
Corresponding to the
various rules in the different calculus for differentiating sum, product and
functions of functions, more or less there are similar rules available in the
integral calculus also.
(a) Substitution rule
(b) Integration by
parts
(c) Successive
reduction method
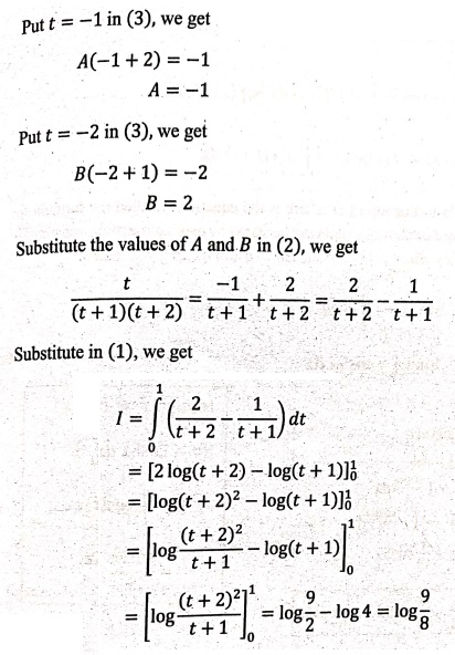
(d) Decomposition into
a sum (Method of partial fractions)
Because of the
fundamental theorem, its important to be able to find anti‒ derivatives. but
anti differentiation formulas don't tell us how to evaluate integrals of
certain forms therefore we have to identify
a suitable method to find the anti‒derivative of the integrand one of such
method is the Substitution method and described as given below.
Let ax + b = u. Then a
dx = du.
∫ f(ax
+ b) dx = 1/a f(u) du
Integrals
of functions of the form ∫ f(xn)
xn‒1dx
In this type put xn
= t then nxn‒1dx = dt
xn‒1dx = 1/n
dt.
The given integral
reduces to the form 1/n ∫ f(t)dt
which can be evaluated easily.
Integrals
of functions of the form ∫ [f(x)]n
f '(x) dx
It is given that ∫[f(x)]n f '(x) dx. Then put f(x) =
t, ⇒ f '(x)dx = dt.
The given integral is
evaluated depending on n.

= log(t) = log[f(x)] + C when n = ‒1.
Integrals
of functions of the form ∫ f[g(x)]g'(x)
dx
If u = g(x) is a
differentiable function whose range is an interval I and f is continuous on I, then

This rule is known as
the substitution rule.









Applied Calculus: UNIT III: Integral Calculus : Tag: Applied Calculus : Method of integration - Net Change Theorem: Substitution rule
Applied Calculus
MA25C01 Maths 1 M1 - 1st Semester | 2025 Regulation | 1st Semester 2025 Regulation
English Essentials I
EN25C01 1st Semester | 2025 Regulation | 1st Semester 2025 Regulation
தமிழர் மரபு - Heritage of Tamils
UC25H01 1st Semester | 2025 Regulation | 1st Semester 2025 Regulation
Applied Calculus
MA25C01 Maths 1 M1 - 1st Semester | 2025 Regulation | 1st Semester 2025 Regulation
Applied Physics I
PH25C01 1st Semester | 2025 Regulation | 1st Semester 2025 Regulation
Applied Chemistry I
CY25C01 1st Semester | 2025 Regulation | 1st Semester 2025 Regulation
Makerspace
ME25C04 1st Semester | 2025 Regulation | 1st Semester 2025 Regulation
Computer Programming C
CS25C01 1st Semester | 2025 Regulation | 1st Semester 2025 Regulation
Computer Programming Python
CS25C02 1st Semester | 2025 Regulation | 1st Semester 2025 Regulation
Fundamentals of Electrical and Electronics Engineering
EE25C03 1st Semester | 2025 Regulation | 1st Semester 2025 Regulation
Introduction to Mechanical Engineering
ME25C03 1st Semester | 2025 Regulation | 1st Semester 2025 Regulation
Introduction to Civil Engineering
CE25C01 1st Semester Civil Department | 2025 Regulation | 1st Semester 2025 Regulation
Essentials of Computing
CS25C03 1st Semester - AID CSE IT Department | 2025 Regulation | 1st Semester 2025 Regulation
Applied Physics I Laboratory
PH25C01 1st Semester practical Laboratory Manual | 2025 Regulation | 1st Semester Laboratory 2025 Regulation
Applied Chemistry I Laboratory
CY25C01 1st Semester practical Laboratory Manual | 2025 Regulation | 1st Semester Laboratory 2025 Regulation
Computer Programming C Laboratory
CS25C01 1st Semester practical Laboratory Manual | 2025 Regulation | 1st Semester Laboratory 2025 Regulation
Computer Programming Python Laboratory
CS25C02 1st Semester practical Laboratory Manual | 2025 Regulation | 1st Semester Laboratory 2025 Regulation
Engineering Drawing
ME25C01 EEE Mech Dept | 2025 Regulation | 2nd Semester 2025 Regulation
Basic Electronics and Electrical Engineering
EE25C04 1st Semester ECE Dept | 2025 Regulation | 2nd Semester 2025 Regulation