Determination of the moment of inertia of the disc and rigidity modulus of the wire using torsion pendulum with mass.
EXPERIMENT
USING TORSION PENDULUM
Determination
of the moment of inertia of the disc and rigidity modulus of the wire using
torsion pendulum with mass.
To
determine the moment of inertia of the disc and the rigidity modulus of the
wire, the disc is set into torsional oscillations without any mass over it and
the time period of oscillations(T) is measured.
(i.e.)
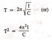
Time period of oscillation without mas
T = 2π √(I/C)
(or)
T2 = 4π2I / C …………(1)

Where,
I is the moment of inertia of the disc about the axis of rotation and C is the
restoring couple.
Now,
two equal cylindrical masses are placed over the disc at equal distances say d1,
from the centre of the disc as shown in Fig.4.9 and is set into torsional
oscillations. Time period of oscillation (T1) is measured.

Time
period of oscillation when the masses is at a distance
(d1)
= T1 = 2π √(I1/C)
(or)
T12 = 4π2I1 / C …………(2)
Where,
I1 is the moment of inertia of the disc along with the cylindrical
masses placed over the disc at a distance d1.
Now,
the cylindrical masses are placed at the edges of the disc at equal distance
say d2 from the centre of the disc as shown in Fig.4.10 and the time
period of oscillation (T2) is measured.

Time
period of oscillation when the mass is at a distance
(d2)
= T2 = 2π √(I2/C)
(or)
T22 = 4π2I2 / C …………(3)
Where
I2 is the moment of inertia of the disc along with two equal masses
placed at a distance d2.
From
equations (1), (2) and (3), we can write

From
the parallel axis theorem we can write the moment of inertia I1 as
I1 = I + 2Im + 2md12 .....(5)
Where,
Im
→ Moment of inertia of each cylindrical mass passing through its centre.
M
→ Mass of the cylindrical weights placed over the disc.
Similarly
from the parallel axis theorem, we can write
I2
= I + 21m + 2md22 .....(6)
From
equation (5) and (6), we can write,
I2
‒ I1 = 2m (d22 ‒ d12) .....(7)
Substituting
equation (7) in equation (4)
Moment
of inertia of the disc about the axis of rotation
………..(8)
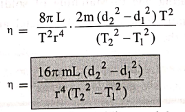
From
the theory of torsion pendulum, we know
The
Rigidity modulus of the wire η = 8πIL / T2r4 ………(9)
Substituting
equation (8) in (9) we have

Equation
(10) represents the rigidity modulus of the wire.
Applied Physics I: Chapter 4: Oscillations and Waves : Tag: Applied Physics : - Experiment using Torsion Pendulum
Applied Physics I
PH25C01 1st Semester | 2025 Regulation | 1st Semester 2025 Regulation
English Essentials I
EN25C01 1st Semester | 2025 Regulation | 1st Semester 2025 Regulation
தமிழர் மரபு - Heritage of Tamils
UC25H01 1st Semester | 2025 Regulation | 1st Semester 2025 Regulation
Applied Calculus
MA25C01 Maths 1 M1 - 1st Semester | 2025 Regulation | 1st Semester 2025 Regulation
Applied Physics I
PH25C01 1st Semester | 2025 Regulation | 1st Semester 2025 Regulation
Applied Chemistry I
CY25C01 1st Semester | 2025 Regulation | 1st Semester 2025 Regulation
Makerspace
ME25C04 1st Semester | 2025 Regulation | 1st Semester 2025 Regulation
Computer Programming C
CS25C01 1st Semester | 2025 Regulation | 1st Semester 2025 Regulation
Computer Programming Python
CS25C02 1st Semester | 2025 Regulation | 1st Semester 2025 Regulation
Fundamentals of Electrical and Electronics Engineering
EE25C03 1st Semester | 2025 Regulation | 1st Semester 2025 Regulation
Introduction to Mechanical Engineering
ME25C03 1st Semester | 2025 Regulation | 1st Semester 2025 Regulation
Introduction to Civil Engineering
CE25C01 1st Semester Civil Department | 2025 Regulation | 1st Semester 2025 Regulation
Essentials of Computing
CS25C03 1st Semester - AID CSE IT Department | 2025 Regulation | 1st Semester 2025 Regulation
Applied Physics I Laboratory
PH25C01 1st Semester practical Laboratory Manual | 2025 Regulation | 1st Semester Laboratory 2025 Regulation
Applied Chemistry I Laboratory
CY25C01 1st Semester practical Laboratory Manual | 2025 Regulation | 1st Semester Laboratory 2025 Regulation
Computer Programming C Laboratory
CS25C01 1st Semester practical Laboratory Manual | 2025 Regulation | 1st Semester Laboratory 2025 Regulation
Computer Programming Python Laboratory
CS25C02 1st Semester practical Laboratory Manual | 2025 Regulation | 1st Semester Laboratory 2025 Regulation
Engineering Drawing
ME25C01 EEE Mech Dept | 2025 Regulation | 2nd Semester 2025 Regulation
Basic Electronics and Electrical Engineering
EE25C04 1st Semester ECE Dept | 2025 Regulation | 2nd Semester 2025 Regulation