In general, there is no transmission of energy across any plane in either direction of a stationary wave, because, if two progressive waves of equal energy travel in opposite direction, then the resultant flow of energy will be equal to zero.
STATIONARY
WAVE EQUATION, ENERGY AND POWER TRANSFER IN A STATIONARY WAVE
In
general, there is no transmission of energy across any plane in either
direction of a stationary wave, because, if two progressive waves of equal
energy travel in opposite direction, then the resultant flow of energy will be
equal to zero.
Let
us now find the energy wave equation of the stationary and prove that the
transfer of energy is zero.
Let
us consider a progressive wave moving with amplitude 'A' wavelength 'λ' and
velocity 'v' travelling from left to right along the X‒axis.
Then,
the displacement of the transmitted wave at any point shall be written as
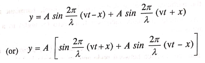
y1 = A sin(2π/ λ) (vt‒x)
[Transmitted wave] ………..(1)
If
the wave is reflected, then the wave will move from right to left, i.e., in the
opposite direction, thus the displacement of the reflected wave shall be
written as
y2
= A sin(2π/ λ) (vt+x) [Reflected wave] ………..(2)
The
resultant displacement y = y1 + y2
Substituting
eqn. (1) and eqn. (2) in eqn. (3) we get

Since
sin C + sin D = 2 sin [(C+D)/2] cos [(C‒D)/2], we can write the above equation
as

Equation
(4) represents the simple harmonic wave equation of a stationary wave.
We
know the angular frequency ω = 2πν / λ
The
stationary wave equation (4) shall be written as
y = 2A cos(2πx/λ) sin ωt
……………(5)
∴ Particle velocity dy/dt shall be obtained by
differentiating equation (5) with respect to 't'.

When
there is a stationary wave, then, there will be excess pressure in the medium.
∴ The excess pressure
due to stationary wave in the medium shall be written as
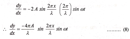
P = ‒ E dy/dx …………..(7)
Differentating
eqn (5) with respect to 'x' we get

Substituting
eqn (8) in eqn (7) we get

∴ The workdone against
the excess pressure (or) the energy transferred per unit area in a small
internal of time dt shall be written as
(or)
Energy transfer in time 'dt' = P (dy/dt)
dt ……….(10)
∴ The total energy
transferred in a periodic time of T seconds across the unit area shall be
obtained by integrating eqn (10) from 0 to "T"
i.e.,
Total Energy transfer = 0∫r P (dy/dt) dt
………….(11)

We
know the rate of energy transfer (or) power transfer = Total Energy Transfer / Total
Time taken …………..(12)
Substituting
eqn (11) in eqn (12), we get
Rate
of energy (or) power transfer =

.........
(13)
Substituting
eqn (6) and eqn (9) in eqn (13) we get

Rate of energy (or) power transfer = 0
Thus
we can see that for a stationary wave, the rate of energy transfer in zero,
which implies that no energy is Transferred in a stationary wave.
Applied Physics I: Chapter 4: Oscillations and Waves : Tag: Applied Physics : - Stationary wave equation, energy and power transfer in a stationary wave
Applied Physics I
PH25C01 1st Semester | 2025 Regulation | 1st Semester 2025 Regulation
English Essentials I
EN25C01 1st Semester | 2025 Regulation | 1st Semester 2025 Regulation
தமிழர் மரபு - Heritage of Tamils
UC25H01 1st Semester | 2025 Regulation | 1st Semester 2025 Regulation
Applied Calculus
MA25C01 Maths 1 M1 - 1st Semester | 2025 Regulation | 1st Semester 2025 Regulation
Applied Physics I
PH25C01 1st Semester | 2025 Regulation | 1st Semester 2025 Regulation
Applied Chemistry I
CY25C01 1st Semester | 2025 Regulation | 1st Semester 2025 Regulation
Makerspace
ME25C04 1st Semester | 2025 Regulation | 1st Semester 2025 Regulation
Computer Programming C
CS25C01 1st Semester | 2025 Regulation | 1st Semester 2025 Regulation
Computer Programming Python
CS25C02 1st Semester | 2025 Regulation | 1st Semester 2025 Regulation
Fundamentals of Electrical and Electronics Engineering
EE25C03 1st Semester | 2025 Regulation | 1st Semester 2025 Regulation
Introduction to Mechanical Engineering
ME25C03 1st Semester | 2025 Regulation | 1st Semester 2025 Regulation
Introduction to Civil Engineering
CE25C01 1st Semester Civil Department | 2025 Regulation | 1st Semester 2025 Regulation
Essentials of Computing
CS25C03 1st Semester - AID CSE IT Department | 2025 Regulation | 1st Semester 2025 Regulation
Applied Physics I Laboratory
PH25C01 1st Semester practical Laboratory Manual | 2025 Regulation | 1st Semester Laboratory 2025 Regulation
Applied Chemistry I Laboratory
CY25C01 1st Semester practical Laboratory Manual | 2025 Regulation | 1st Semester Laboratory 2025 Regulation
Computer Programming C Laboratory
CS25C01 1st Semester practical Laboratory Manual | 2025 Regulation | 1st Semester Laboratory 2025 Regulation
Computer Programming Python Laboratory
CS25C02 1st Semester practical Laboratory Manual | 2025 Regulation | 1st Semester Laboratory 2025 Regulation
Engineering Drawing
ME25C01 EEE Mech Dept | 2025 Regulation | 2nd Semester 2025 Regulation
Basic Electronics and Electrical Engineering
EE25C04 1st Semester ECE Dept | 2025 Regulation | 2nd Semester 2025 Regulation