Three Phase Induction Motors: Torque Under Running Conditions
TORQUE
UNDER RUNNING CONDITIONS
Let the motor at
standstill,
E2 = Induced emf per phase
X2 = Reactance per phase
R2 = Resistance per phase
Under running
conditions,
Er = rotor emf/phase under running
conditions.
Ir = rotor current/phase under
running conditions.
Zr = rotor impedance/phase.
Now,
Er = sE2
Xr =sX2
Zr = √[ R22
+ (sX2)2 ]
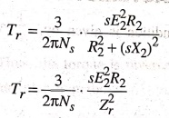
Torque, Tr ∝ ErIr
cos ϕ2
or
Tr ∝ ϕIr cos ϕ2
(Er ∝ ϕ)

Rotor current/phase is
given by,

Where, K is another
constant
It can be proved that K
= 3 / 2πNS
Therefore, the
expression for torque becomes,

If the stator supply
voltage V is constant, then stator flux and hence E2 will be
constant.

………….. (5.17)
Where, K2 is
another constant.
It may be shown that,
the running torque is,
(i) directly proportional
to slip i.e., if slip increases, the torque will increase and vice versa.
(ii) directly
proportional to square of supply voltage (`.` E2 ∝ V)
Basic Electronics and Electrical Engineering: Chapter 5: Induction Motors : Tag: Basic Engineering : Three Phase Induction Motors - Torque Under Running Conditions
Basic Electronics and Electrical Engineering
EE25C04 1st Semester ECE Dept | 2025 Regulation | 2nd Semester 2025 Regulation
English Essentials I
EN25C01 1st Semester | 2025 Regulation | 1st Semester 2025 Regulation
தமிழர் மரபு - Heritage of Tamils
UC25H01 1st Semester | 2025 Regulation | 1st Semester 2025 Regulation
Applied Calculus
MA25C01 Maths 1 M1 - 1st Semester | 2025 Regulation | 1st Semester 2025 Regulation
Applied Physics I
PH25C01 1st Semester | 2025 Regulation | 1st Semester 2025 Regulation
Applied Chemistry I
CY25C01 1st Semester | 2025 Regulation | 1st Semester 2025 Regulation
Makerspace
ME25C04 1st Semester | 2025 Regulation | 1st Semester 2025 Regulation
Computer Programming C
CS25C01 1st Semester | 2025 Regulation | 1st Semester 2025 Regulation
Computer Programming Python
CS25C02 1st Semester | 2025 Regulation | 1st Semester 2025 Regulation
Fundamentals of Electrical and Electronics Engineering
EE25C03 1st Semester | 2025 Regulation | 1st Semester 2025 Regulation
Introduction to Mechanical Engineering
ME25C03 1st Semester | 2025 Regulation | 1st Semester 2025 Regulation
Introduction to Civil Engineering
CE25C01 1st Semester Civil Department | 2025 Regulation | 1st Semester 2025 Regulation
Essentials of Computing
CS25C03 1st Semester - AID CSE IT Department | 2025 Regulation | 1st Semester 2025 Regulation
Applied Physics I Laboratory
PH25C01 1st Semester practical Laboratory Manual | 2025 Regulation | 1st Semester Laboratory 2025 Regulation
Applied Chemistry I Laboratory
CY25C01 1st Semester practical Laboratory Manual | 2025 Regulation | 1st Semester Laboratory 2025 Regulation
Computer Programming C Laboratory
CS25C01 1st Semester practical Laboratory Manual | 2025 Regulation | 1st Semester Laboratory 2025 Regulation
Computer Programming Python Laboratory
CS25C02 1st Semester practical Laboratory Manual | 2025 Regulation | 1st Semester Laboratory 2025 Regulation
Engineering Drawing
ME25C01 EEE Mech Dept | 2025 Regulation | 2nd Semester 2025 Regulation
Basic Electronics and Electrical Engineering
EE25C04 1st Semester ECE Dept | 2025 Regulation | 2nd Semester 2025 Regulation